Abstract
Background
Data from the Australian and New Zealand (ANZ) Myeloma and Related Diseases Registry (MRDR) shows that 85% of newly diagnosed multiple myeloma (NDMM) patients (pts) in ANZ are induced with bortezomib(V)-containing therapies, predominantly triplets of V-cyclophosphamide-dexamethasone (VCD). Of these, 15% demonstrate treatment failure - either a sub-optimal response (<partial response [PR]) (SOR) or primary refractoriness (1REF). Published data demonstrate that the outcome for these pts remains poor with short progression free (PFS) and overall survival (OS), thus representing an area of ongoing unmet medical need. The ALLG MM17 trial was designed to evaluate the efficacy of early response adaption with a switch to an intensive salvage strategy built around the triplet of carfilzomib-thalidomide-dexamethasone (KTd) in transplant eligible (TE) NDMM patients failing V-based induction.
Methods
MM17 was a multi-centre single arm study sponsored by the ALLG. Eligible pts were TE NDMM undergoing pre-autologous stem cell transplant (ASCT) induction with V-based therapy and demonstrating either SOR (defined as <minimal response [MR] after 2 inductions cycles or <PR after 4 induction cycles) or 1REF (defined as disease progression while on or within 60 days of completing induction therapy). KTd was K56mg/m2 on D1, 2, 8, 9, 15 and 16 of each 28-day cycle (27mg/m2 D1 and 2 of cycle 1); thalidomide 100mg D1-28; and, dexamethasone 40mg on D1, 8, 15, and 22 of each cycle. VTE and anti-viral prophylaxis was as per individual institutional practice. Pts were planned to receive KTd x 4 cycles then undergo disease re-evaluation. Those achieving a stringent complete response (sCR) (defined as a morphologically normal bone marrow [BM] and immunofixation negativity and normalisation of the involved light chain isotype) proceeded to a MEL200 conditioned ASCT. Those with <sCR received a further KTd x 2 cycles, then proceeded to ASCT. Commencing at day 100 post-ASCT pts received a further 2 cycles of KTd and then continued Td to complete a total of 12 months post-ASCT consolidation. Euroflow minimal residual disease (MRD) evaluation was undertaken pre-ASCT, at day 100 post-ASCT, after KTd x 2 consolidation post ASCT and after completion of Td. CD138 enrichment of BM at study entry was assessed for EMC-92 gene signature for disease stratification utilising the Affymetric DX2 platform. Liquid biopsies at study entry were obtained to isolate cell free (cf) DNA for high-sensitivity targeted amplicon sequencing (TAS) for mutational characterisation of the MM at both study entry and relapse. The primary endpoint of the study was the overall response rate (ORR) to pre-ASCT KTd.
Results
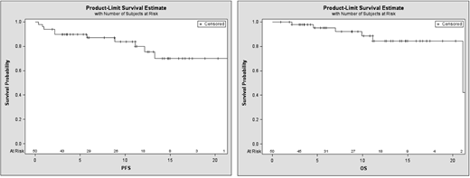
Fifty pts were recruited from 6 Australian sites between September 2016 and April 2018. EMC92 stratification was successful in 21 pts with 10 (48%) being high-risk and with cfDNA successfully obtained from 49 pts and currently undergoing baseline TAS. Data cut-off date was July 18 2018 with 39 pts evaluable for the primary end-point with the reverse-Kaplan-Meier estimate of the median potential follow-up for survival being 10.9 months (95% CI: 6.0 - 13.1 months). Median age was 50 years (36-71) with 72% males. Disease status at study entry was SOR in 26 (66%) (< MR n = 13, < PR n = 13) and 1REF in 13 (33%). The median number of pre-ASCT KTd cycles was 6 (6 cycles, n = 27 [69%]; 5 cycles, n = 1 [3%], 4 cycles, n = 5 [13%]; ≤ 3 cycles, n = 6 [15%]). Two pts were withdrawn due to treatment related toxicity - pulmonary arterial hypertension (n=1) and acute renal failure (n=1). One pt died of sepsis on treatment and one was withdrawn and subsequently died due to a second primary malignancy. ORR was 72% (95% CI: 56-83%)* - sCR 13%, CR 5%, VGPR 36% and PR 18%. Euroflow confirmed MRD negativity in 36% (14 of 39) of pts pre-ASCT and in 43% (12 of 28) at day 100 post-ASCT. Eight pts have progressed, 7 with highly aggressive extra-medullary disease. Neither median PFS (left panel) nor OS (right panel) have been reached.
Conclusions
This preliminary analysis of the ALLG MM17 trial demonstrates that early response adaptive escalation to KTd results in high response rates, including MRD negativity, in patients failing V-based induction therapy.
*95% Credible interval from the posterior distribution. Bayesian updating based on observed data and a minimally informative prior for ORR with a median of 35%.
Spencer:Celgene: Honoraria, Research Funding, Speakers Bureau; Janssen-Cilag: Honoraria, Research Funding, Speakers Bureau; Amgen: Honoraria, Research Funding; BMS: Research Funding; Takeda: Honoraria, Research Funding, Speakers Bureau; STA: Honoraria. Quach:Sanofi Genzyme: Research Funding; Janssen Cilag: Consultancy; Amgen: Consultancy, Research Funding; Celgene: Consultancy, Research Funding. Kalff:Janssen: Honoraria; Amgen: Other: travel to preceptorship; Celgene: Honoraria; Takeda: Honoraria. Bergin:AMGEN: Other: Travel to education meeting; Celgene: Consultancy. Reynolds:Novartis: Equity Ownership, Other: former employee of Novartis AG and holds stock in the company. .
Author notes
Asterisk with author names denotes non-ASH members.
This feature is available to Subscribers Only
Sign In or Create an Account Close Modal